記事
アマンタジンとメマンチンは似ている?
公開. 更新. 投稿者: 879 ビュー. カテゴリ:相互作用/薬物動態.この記事は約2分48秒で読めます.
アマンタジンとメマンチンの構造式

アマンタジン(商品名:シンメトレル)はパーキンソン病治療薬であり、A型インフルエンザにも適応を持つ薬です。
メマンチン(商品名:メマリー)は認知症治療薬であり、NMDA受容体拮抗薬に分類されます。
アマンタジンとメマンチンの構造式は似ている。
【メマンチンの構造式】

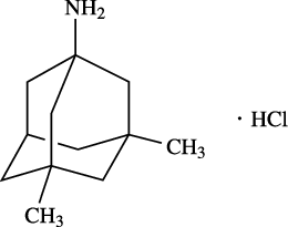
【アマンタジンの構造式】

下の構造式が共通しているが、これをアダマンタン骨格という。

アダマンタンとは、炭素が立体的な“かご状構造”をとる非常に安定した分子骨格で、脂溶性が高く、中枢神経へ移行しやすいという特徴があります。
この共通の骨格を持つため、
・分子サイズが近い
・中枢神経移行性が高い
・NMDA受容体チャネルに入り込める
という共通点が生まれます。
アマンタジンの作用機序としては、パーキンソン病治療薬としてはドパミン放出促進薬、インフルエンザ治療薬としてはM2蛋白阻害薬、という作用機序しか知らず、NMDA受容体拮抗薬としての働きはあまりなじみが無い。
しかし、アマンタジンの相互作用にNMDA受容体拮抗剤(メマンチン、デキストロメトルファン、ケタミン等)があり、機序として「両薬剤ともNMDA受容体拮抗作用を有するため。」との記載がみられる。
アマンタジンはNMDA受容体拮抗薬としては比較的弱く、メマンチンは強いらしい。
共通する作用機序 ― NMDA受容体拮抗作用
両者はともにNMDA受容体の非競合的拮抗薬です。
NMDA受容体とは?
NMDA受容体はグルタミン酸受容体の一種で、
神経の興奮性伝達に重要な役割を果たします。
しかし、
・過剰な活性化
・持続的なカルシウム流入
が起こると、神経細胞が障害される(=興奮毒性)。
■ メマンチンの役割
アルツハイマー型認知症では、慢性的なグルタミン酸過活動が神経細胞死を招くと考えられています。
メマンチンは
・過剰に開いているNMDAチャネルのみをブロック
・正常な神経伝達は温存
という“ゆるやかな拮抗”を行います。
この「電圧依存的・低親和性ブロック」という性質が、
副作用を抑えながら神経保護を可能にしています。
■ アマンタジンの役割
アマンタジンもNMDA受容体を阻害しますが、臨床的には
・ドパミン放出促進
・ドパミン再取り込み阻害
作用の方がパーキンソン病治療では重要です。
つまり、
NMDA拮抗作用は共通だが、臨床効果の中心は異なる
ということです。



